Introduction
Immune thrombocytopenic purpura (ITP), or primary immune thrombocytopenia is an autoimmune disease characterized by isolated thrombocytopenia (number of platelets in peripheral blood is less than 100×109/L) and splenic production of antibodies against platelet glycoprotein complexes and megakaryocytes, resulting in hemorrhagic syndrome. Circulating platelets attached by autoantibodies that leads to accelerated removal of these cells by spleen macrophages. The therapy for patients with newly diagnosed ITP with hemorrhagic syndrome and/or severe thrombocytopenia (number of platelets in peripheral blood <10-20×109/L) includes corticosteroids and characterized by a low rate of remission (just around 20-30%). For cases of ITP resistant to corticosteroid therapy recommends one of the second-line method of treatment - splenectomy (SE). Approximately 60-80% of the patients achieve complete remission after splenectomy.
There is a technique for assessment of platelet-associated antibodies (PAA) classes IgG, IgM and IgA on platelets by flow cytometry. This method is a commodious, easy, quick, and relatively cheap and applied to estimate autoimmunity status of patients with thrombocytopenia. However, this method characterized by low specificity.
Aim
The aim of the study was to determine the correlation between level of PAA of IgG, IgM, and IgA classes in the peripheral blood of adults with ITP before SE, 5-7 days and 3 months after SE.
Patients and methods
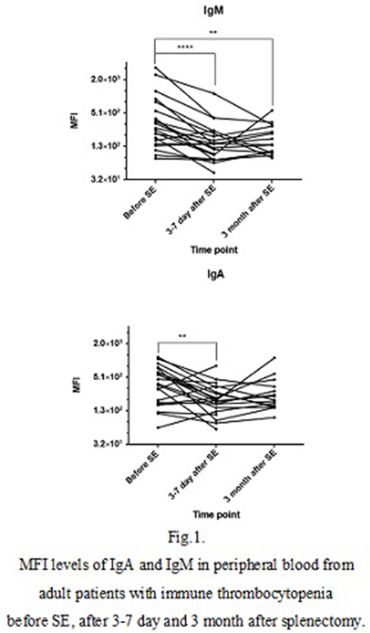
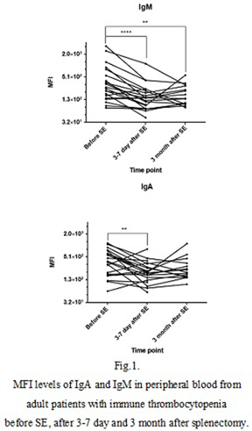
The study included 21 patients with ITP (4 cases of persistent ITP and 17 cases with chronic form). Median age was 36.9 years, M:F ratio was 1: 4.25 (men was older than women - 46.0 years old versus 34.7). All patients underwent from 1 to 3 lines of therapy and were recommended for SE due to resistance to treatment. The PAA level was measured at three time points (before SE, 5-7 days, and three months after SE) by flow cytometry (Becton Dickinson FACS Canto II). Goat polyclonal antibodies against human IgG, IgM, IgA labeled with fluorescein isothiocyanate (FITC) (Cedarlane) were used to determine antibodies of various classes. Anti-CD41a labeled with phycoerethrin (Becton Dickinson) was used to determined platelets. PAA level was assessed based on the mean of fluorescence intensity (MFI) of the FITC-channel. Statistic analysis was carried out using GraphPad Prism 6.01. Wilcoxon signed-rank test had been used for pair comparison. The value of 0.05 had been taken as reliable.
Results
MFI levels of PAA IgA (391 vs 198, p = 0.005) and IgM (275 vs 142, p<0.0001) significantly decreased in patients after SE compared with the initial level (level before SE). Level of MFI PAA IgM also remained reduced (275 vs 138, p=0.0084) three months after SE (Fig. 1). MFI levels of PAA IgG did not change.
Conclusions
Using of flow cytometry to determinate platelet-associated immunoglobulins for diagnostic of ITP remains controversial. Despite the fact, this test can be recommended for monitoring of PAA from patients with ITP after SE. In addition, the results confirm the fact that most cells producing antiplatelet antibodies seems to be residing in a spleen.
No relevant conflicts of interest to declare.
Author notes
Asterisk with author names denotes non-ASH members.
